
Combustion in Spark-Ignition Engines
Advanced concepts and alternative fuels
Introduction
This research line focuses on studying combustion processes in SI engines, addressing the relevant physics and chemistry under real operating conditions. It explores strategies to enhance thermal efficiency and reduce pollutant emissions by combinig advanced experimental and numerical techniques. Alternative fuels -such as hydrogen and bio/exfuels- are investigated for integration into next-generation engines.
Research Areas
Conventional combustion optimization
Avanced ignition concepts
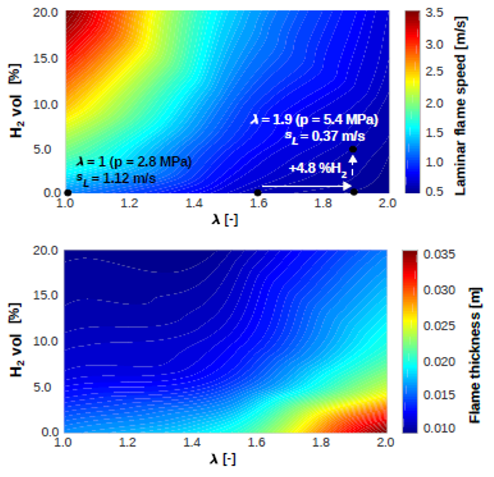
Hydrogen combustion systems
Ammonia combustion systems
Engine-vehicle integration
LCA and TCO benchmarking
Conventional combustion optimization
Advanced ignition concepts
Hydrogen combustion systems
Ammonia combustion systems
Engine-vehicle integration
LCA and TCO benchmarking
Facilities

Recent Publications
Brief description and links for detailed view:


































